5 вещей, которые ты должна знать сегодня - 21 октября

Автор
5 вещей, которые ты должна знать сегодня - 21 октября

С самого утра понедельника мир пришел в движение и уже вовсю все происходит. Перечитать всю ленту новостей ни у какой мамы не хватит времени и терпения, поэтому мы собрали для тебя самые интересные и веселые новости дня. В этот раз - максимум классных фоток!

Чувство вины

Британские ученые открывают сегодняшние новости: новое исследование показало, что 96% женщин минимум 1 раз в день винят себя в чем-то. Самые популярные причины чувства вины: диета, недостаточное количество времени для семьи, дети, муж.

Примем как факт: чувство вины не помогаетпохудеть, найти время для семьи, воспитать детей и построить гармоничные отношения с мужем.

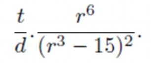
Формула пиццы

5 вещей, которые ты должна знать сегодня - 21 октября - изображение №1

Выброси все кулинарные книги и предай анафеме все пиццерии города, потому что:

Женщина-математик из университета Шеффилда открыла первую в мире формулу пиццы с «идеальным» соотношением начинки теста.

И как всегда дело в размере: в маленькой пицце начинки больше, но в большой она распределяется более равномерно.

Исследовательница уверена, что секрет идеальной пиццы не в толщине теста, а в балансе между слоем начинки и теста.

Вот и формула.

5 вещей, которые ты должна знать сегодня - 21 октября - изображение №2

Где: d – объём теста, а t – объём начинки.

А вы говорите кухня…

Жизнь женщины

Далее только классные картинки: проект «Зеркала и Окна» Габриэле Галимберти и Эдуарда Делилья. Покажи мне свою спальню, и я скажу, кто ты. Главной целью фотографов было показать не то, как выглядят женщины или какая обстановка царит в их комнате, а то, насколько эти вещи отличаются в зависимости от географического или социального положения. По материалам AdMe.ru.

5 вещей, которые ты должна знать сегодня - 21 октября - изображение №3
5 вещей, которые ты должна знать сегодня - 21 октября - изображение №4
5 вещей, которые ты должна знать сегодня - 21 октября - изображение №5
5 вещей, которые ты должна знать сегодня - 21 октября - изображение №6
5 вещей, которые ты должна знать сегодня - 21 октября - изображение №7
5 вещей, которые ты должна знать сегодня - 21 октября - изображение №8
5 вещей, которые ты должна знать сегодня - 21 октября - изображение №9
5 вещей, которые ты должна знать сегодня - 21 октября - изображение №10

Love is

Еще один классный фото-проект канадского фотографа Хана Песута «Switcharoo». Фотосерия Ханы получила международное признание, сообщает AdMe.ru. Кстати, неплохая идея для домашнего фотоальбома. А как выглядели бы вы?

5 вещей, которые ты должна знать сегодня - 21 октября - изображение №11
5 вещей, которые ты должна знать сегодня - 21 октября - изображение №12
5 вещей, которые ты должна знать сегодня - 21 октября - изображение №13
5 вещей, которые ты должна знать сегодня - 21 октября - изображение №14
5 вещей, которые ты должна знать сегодня - 21 октября - изображение №15
5 вещей, которые ты должна знать сегодня - 21 октября - изображение №16

Шэрон Стоун

Не можем не порадоваться и не упустим случая поздравить старушку Шэрон Стоун (шоб мы все так старели!). Актриса была удостоена награды лауреата Нобелевской премии мира 2013 года за помощь больным ВИЧ/СПИДом. Награда будет вручена на 13-м Всемирном саммите лауреатов Нобелевской премии мира в декабре этого года в Варшаве.

5 вещей, которые ты должна знать сегодня - 21 октября - изображение №17

Больше новостей читай здесь.